General comments
The class went pretty well. I covered part of Chapter V of the notes and all of Chapter VI. This included 1) Principal figures of merit for rocket performance (thrust, specific impulse and weight), 2) discussion of the general layout of rocket motor components, and 3) Given typical design parameters (nozzle throat and exit areas, and combustor chamber conditions) how to calculate the principal figures of merit. We did two PRS questions (PRS #1, PRS#2)
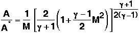
Tomorrow we will cover the last part of rockets: given the principal figures of merit, how to calculate overall vehicle performance. Please review Chapter V of the notes.There was an error in the equation I wrote on the board relating nozzle area ratio to exit Mach number (and an error in the notes--web and pdf). The correct equation is shown below:

While tracking down this error, I found two typos in intermediate steps in the notes from the same section (I must have been heavily medicated when I typed these in). For the record, here they are:

There were several comments on the cell phone technology. Keep these coming (that is why we are trying these, to get student and instructor feedback):
I don't like the cell phones. You need to press three times as many buttons to answer the PRS question. (1 student)
My clicker only allowed web access, so I didn't do the first PRS. I logged in on someone else's phone for the second one though. (1 student)
The phones have too many menus and useless "ok" pressing. (1 student)
Problems with cell phone, some strange signals appearing. (1 student)
Responses to 'Muddiest Part of the Lecture Cards'
(40 respondents, 58 students in class)
1) In Isp=ue/g is g = 9.8 always (even on other planets)? (3 students) Good question. I should have mentioned this. The answer is yes. Isp is defined using the earth's gravitational constant.
2) In 2-stage rockets, do they make the nozzle of the second stage a larger Ae/A*?. (1 student) I am not sure, but remember that you still have to carry the weight of the second stage nozzle with you through the first stage burn. So I would guess that weight constraints limit how much it can be changed.
3) How does an aerospike engine (X-33) work? It doesn't use a nozzle? (1 student) How do the "half nozzles" on the Venture Star work? (1 student) There is a short discussion and a few pictures of aerospike and plug nozzles in Hill and Peterson, Mechanics and Thermodynamics of Propulsion, 2nd edition, pp. 538-540 (available in the library). The plug nozzle uses expansion against an external centerbody (with a shorter outer annular nozzle). The aerospike uses two co-annular streams. The center one is intended to serve much like the center body of the plug nozzle.
4) Why do we have to iterate to find Me in the equation (shown above). Can't we just plug in for A*/Ae and gamma? (1 student). No. Try it. You can plug in Me and gamma and find A*/Ae, but the equation is very difficult to invert (to allow A*/Ae and gamma to be plugged in). So iterate.
5) I don't remember seeing any equations dealing with area in fluids lectures ... Maybe I should stop sleeping through lectures ... (1 student). Hmmm.
6) What is Isp physically if anything? (1 student) Thrust per weight flow rate of propellant (with weight evaluated on the surface of the earth--i.e. g=9.8).
7) Can we control the A*/Ae to get optimal thrust at different patm? (1 student). Yes, but this is not typically done, which suggests that the additional weight and complexity of a reconfigurable nozzle outweigh the performance benefits.
8) In the future, when we mine the moom and such to get raw materials, if we build rockets in swpace, could we build ridiculously huge nozzles for extremely high speeds? Would other limitations come into effect? (1 student) So if you had a rocket engine that would only ever be in space, not in the atmosphere, then would the nozzle be huge? (1 student). It would probably be bigger, but not "huge". First, assuming the nozzle is built on earth, you still have to get it up there, so weight is an issue. If not, then viscous effects on the internal surfaces of the nozzle still eventually set limits on how large it should be. There is a nice discussion of the details of rocket nozzle design in Hill and Peterson, Mechanics and Thermodynamics of Propulsion, 2nd edition, pp. 520-540 (available in the library).
9) I didn't really understand Q18. So its 1 and 2? (1 student). See solution.
10) Just for fun, can you explain the principle behind shock diamonds one more time? I have seen them, but I want to be able to explain them. (1 student) Yes. I will do this in recitation (remind me if I forget).
11) Is there much cross-over in career fiels for "airplane guys" and "rocket guys"? (1 student). It depends what aspect of the vehicles the people have expertise in (i.e. there are many common areas and then some areas with little overlap). And as the aerospace industry continues to consolidate, I think opportunities for crossing-over will be more common.
12) No mud (30 students). And Dude, do you know those guitars that are like ... double guitars? (1 student).