Course Description
Advanced Analytic Methods in Science and Engineering is a comprehensive treatment of the advanced methods of applied mathematics. It was designed to strengthen the mathematical abilities of graduate students and train them to think on their own.
Course Info
Instructor
Departments
Learning Resource Types
grading
Exams
notes
Lecture Notes
assignment_turned_in
Problem Set Solutions
assignment
Problem Sets
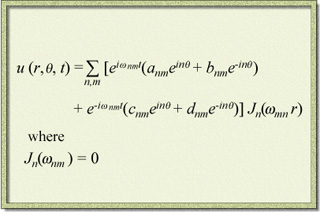
An idealized equation governing the propagation of waves. This equation is linear and homogeneous. (Image courtesy of Prof. Hung Cheng.)